Thread Rating:
  • 1 Vote(s) - 5 Average
  • 1
  • 2
  • 3
  • 4
  • 5
Uncle DT's Random Image Thread
Oooooh, a beer tour across Vermont!!  Now that sounds like a business opportunity!  Buy a short bus and sell seats on the bus with the promise of fun, excitement, beer education, and background meet-n-greets with the people that make the beer that you love to drink...

That sounds like the beer tour across Ireland that Sue, Dad and I did...


Attached Files Thumbnail(s)
   
and so what uranus is a star - Rob
-----------------------
Kruger
Reply
Hmm... that doesn't sound half bad. I did check out the VT tour scene and in typical Vermont fashion, they actually have a bike beer tour. But I'm thinking a short bus like this would be a better fit...


Attached Files Thumbnail(s)
   
Reply
Maybe that bus is used to get you from city to city, but once you get to a destination with a lot of "events" you need to switch over to a bike tour...


Attached Files Thumbnail(s)
   
and so what uranus is a star - Rob
-----------------------
Kruger
Reply
Of course the two instagram girls in front aren't pulling their own weight. I'd either boot them or charge them double. Anyway, at the end of the day I'd just casually start up the hidden engine and say "Oh, we had an engine this entire time...?"


Attached Files Thumbnail(s)
   
Reply
Of course they're not pulling their own weight.  I think that adding a "torque-o-meter" to each seat would provide the pricing format.  Some incentive for those that are looking to burn calories they are consuming, some incentive to save money on the beer they like.  And some incentive to get to drink more at a lesser cost.


Attached Files Thumbnail(s)
   
and so what uranus is a star - Rob
-----------------------
Kruger
Reply
The competitive nature in me would have me maxing out all tiers as soon as possible. But that's an amazing incentive strategy you came up with...


Attached Files Thumbnail(s)
   
Reply
Ya know, that Brazilian jailhouse may be on to something....


Attached Files Thumbnail(s)
   
and so what uranus is a star - Rob
-----------------------
Kruger
Reply
I'm trying to think of all our sayings; best beer is free bottled beer, second best beer is cheap beer. Sorta miss those days where a party would pop up over the weekend and just show up and open the cooler and crack open a beer and join the conversation about absolutely nothing and everything...


Attached Files Thumbnail(s)
   
Reply
Yup, exactly that.  I think the best was free draft beer, then free bottled beer.  Funny thing these days, cans are now the preferred storage device since they block 100% of the light.  

Now that you mention it, my introduction to beer was some homebrew that dad made back in the 70's.  I'll never forget, it was out in the yard and he was relaxing in a hammock.  After getting a swig he told me not to tell mom...


Attached Files Thumbnail(s)
   
and so what uranus is a star - Rob
-----------------------
Kruger
Reply
I've just been buying whatever it comes in. Most of what I drink is always some new micro brewed stuff. Most of it has been cans and a few have been in bottles, but in the end I pour it into a glass to drink...


Attached Files Thumbnail(s)
   
Reply
It's the same here, I drink whatever it comes in.  And it is usually some micro as well, and now that some breweries are selling crowlers instead of glass growlers, that's a lot of what goes home with me too.

Then when I am drinking my own, it starts in a giant 5 gallon stainless "can" and comes out of a tap on the front of my fridge...


Attached Files Thumbnail(s)
   
and so what uranus is a star - Rob
-----------------------
Kruger
Reply
Nothing like having a hot, cold and beer tap in your kitchen...


Attached Files Thumbnail(s)
   
Reply
The beer taps are in the den just off of the kitchen.  There is a niche next to the fireplace and the keezer fits nicely right there.  Now one of mom's uncles had it figured out correctly.  Under the sink in the basement he had a fridge raised up against the ceiling that the keg would go into.  And the tap was on the kitchen sink.  He truly had hot, cold, and cold beer on tap...


Attached Files Thumbnail(s)
   
and so what uranus is a star - Rob
-----------------------
Kruger
Reply
The next house will have indoor beer plumbing. Can you run beer through Pex lines? I imagine you can...


Attached Files Thumbnail(s)
   
Reply
Oooooh, that sounds like a fun project!!!  Indoor beer plumbing could put that tap at the kitchen sink, then taps elsewhere.  Imagine a tap next to the built-in natural gas grill, one out at the shed, one next to the hammock.  And the best of all, one mounted to the headboard...

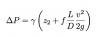
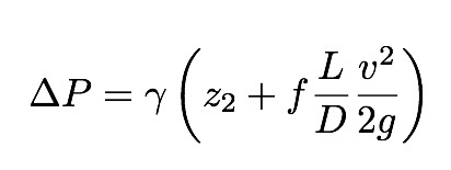
But typically, beer lines aren't pex, they're made of flexible PVC vinyl so you don't have any obstructions or connectors that would impede or change the flow of the beer and cause CO2 to come out of suspension.  Each line is a single run from manifold to the tap.  You want to install them so they can occasionally be changed out and replaced.  And both ends can be disconnected so you can clean them every week or so.

Lastly, you'll need a glycol system to keep everything cold from keg to tap...


Attached Files Thumbnail(s)
   
and so what uranus is a star - Rob
-----------------------
Kruger
Reply


Forum Jump:


Users browsing this thread: 13 Guest(s)